EXPLICIT DIRECT INSTRUCTION LESSON PLAN

Transcription

EXPLICIT DIRECT INSTRUCTION LESSON PLAN
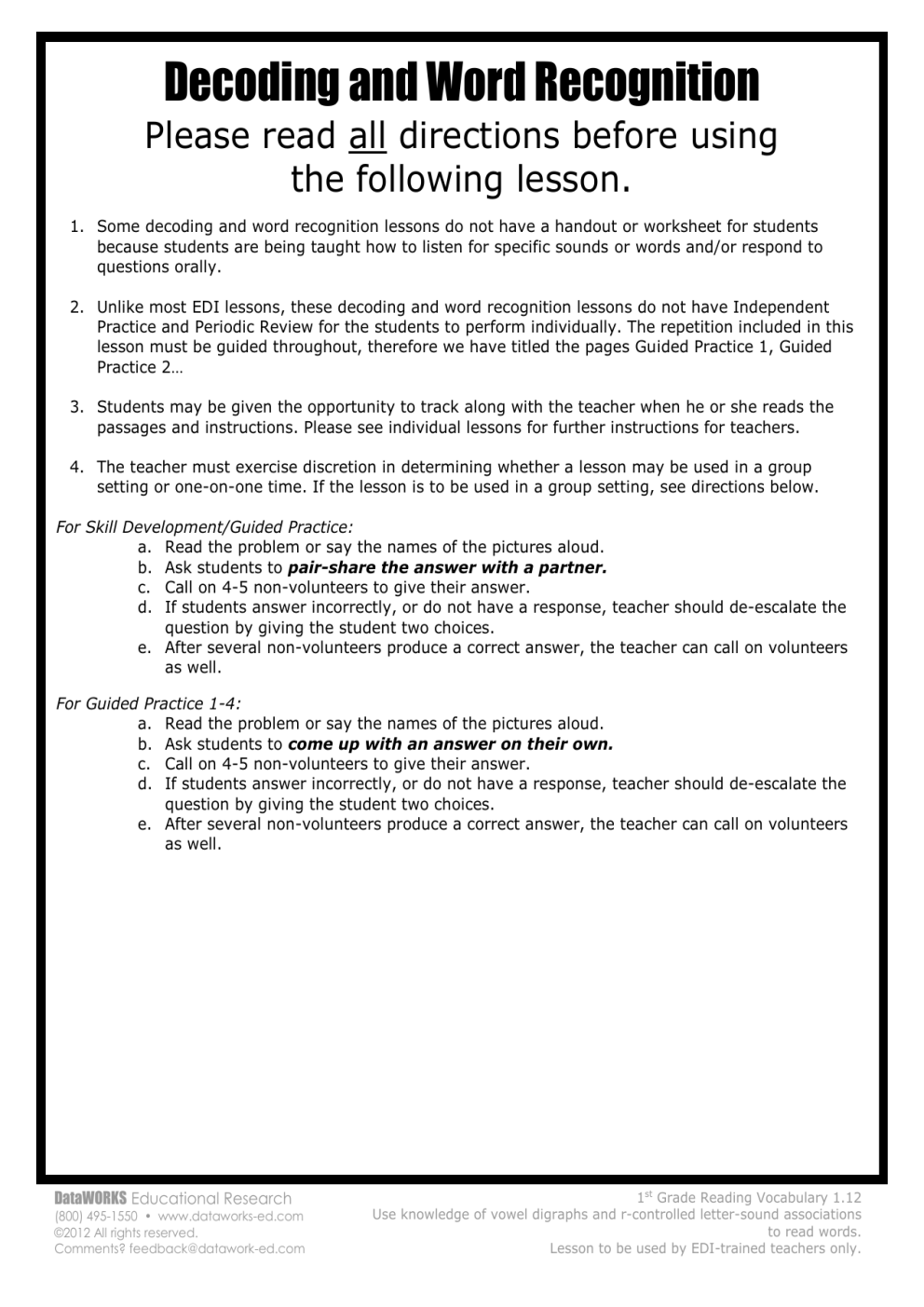
Decoding and Word Recognition
Please read all directions before using
the following lesson.
1. Some decoding and word recognition lessons do not have a handout or worksheet for students
because students are being taught how to listen for specific sounds or words and/or respond to
questions orally.
2. Unlike most EDI lessons, these decoding and word recognition lessons do not have Independent
Practice and Periodic Review for the students to perform individually. The repetition included in this
lesson must be guided throughout, therefore we have titled the pages Guided Practice 1, Guided
Practice 2…
3. Students may be given the opportunity to track along with the teacher when he or she reads the
passages and instructions. Please see individual lessons for further instructions for teachers.
4. The teacher must exercise discretion in determining whether a lesson may be used in a group
setting or one-on-one time. If the lesson is to be used in a group setting, see directions below.
For Skill Development/Guided Practice:
a. Read the problem or say the names of the pictures aloud.
b. Ask students to pair-share the answer with a partner.
c. Call on 4-5 non-volunteers to give their answer.
d. If students answer incorrectly, or do not have a response, teacher should de-escalate the
question by giving the student two choices.
e. After several non-volunteers produce a correct answer, the teacher can call on volunteers
as well.
For Guided Practice 1-4:
a. Read the problem or say the names of the pictures aloud.
b. Ask students to come up with an answer on their own.
c. Call on 4-5 non-volunteers to give their answer.
d. If students answer incorrectly, or do not have a response, teacher should de-escalate the
question by giving the student two choices.
e. After several non-volunteers produce a correct answer, the teacher can call on volunteers
as well.
DataWORKS Educational Research
(800) 495-1550 • www.dataworks-ed.com
©2012 All rights reserved.
Comments? [email protected]
1st Grade Reading Vocabulary 1.12
Use knowledge of vowel digraphs and r-controlled letter-sound associations
to read words.
Lesson to be used by EDI-trained teachers only.
L ea rn i n g Obj e cti v e
Name _____________________
Today, we will read r-controlled vowels.
CFU
What are we going to do today?
Activate (or provide) Prior Knowledge
Read the words below. What sound is the same?
1. rat
2. run
3. rocks
CFU
Students, you noticed that all the words have the /r/ sound. The /r/ sound comes from the letter r.
Sometimes, the letter r can control or change the way other letters sound. When the letter r changes the
way a, e, i, o, or u sound, we say they are controlled by r. These are called r-controlled vowels. Today, we
will be reading words with r-controlled vowels.
DataWORKS Educational Research
(800) 495-1550 • www.dataworks-ed.com
©2012 All rights reserved.
Comments? [email protected]
1st Grade Reading Vocabulary 1.12
Use knowledge of vowel digraphs and r-controlled letter-sound associations
to read words.
Lesson to be used by EDI-trained teachers only.
Co n c e pt D e v el opm e n t
An r-controlled vowel is a vowel whose sound changes
because it is followed by the letter r.
Vowel
Sound
a
o
e, i , u
/ă/
/ŏ/
/ě/, /ĭ/,
/ŭ/
R-Controlled
Vowel
ar
or
er, i r, ur
New Sound
/ŏr/
/ōr/
/r/
Examples:
-ar
-or
car
for
far
short
dark
torn
-er
-ir
-ur
her
herd
verb
bird
dirt
girl
fur
burn
hurt
Non at an example of an r-controlled vowel:
hen
rip
CFU
Why does an r-controlled vowel’s sound change? An r-controlled vowel’s sound changes because ______.
Why is “rip” not an example of an r-controlled vowel?
Which word has an r-controlled vowel? How do you know?
a. part
b. rug
In your own words, what is an r-controlled vowel? An r-controlled vowel is ___________.
DataWORKS Educational Research
(800) 495-1550 • www.dataworks-ed.com
©2012 All rights reserved.
Comments? [email protected]
1st Grade Reading Vocabulary 1.12
Use knowledge of vowel digraphs and r-controlled letter-sound associations
to read words.
Lesson to be used by EDI-trained teachers only.
Ski l l De v el op m en t/ G u i ded P ra cti c e
An r-controlled vowel is a vowel whose sound changes
because it is followed by the letter r.
R-Controlled Vowel
ar
or
er, i r, ur
Sound
/ŏr/
/ōr/
/r/
Examples
car
f or
her, gi rl , hurt
Read r-controlled vowels.
Step #1: Look at the word.
a. Identify the r-controlled vowel. (underline)
Step #2: Read the r-controlled vowel aloud.
Step #3: Read the whole word aloud.
1.
bar
2.
j ar
3.
horn
4.
corn
5.
thi rd
6.
bi rd
7.
burn
8.
turn
9.
f atter
10.
di nner
CFU How did I know what to underline? How did I know what sound the r-controlled vowel makes? How
did you know what to underline? How did you know what sound the r-controlled vowel makes?
DataWORKS Educational Research
(800) 495-1550 • www.dataworks-ed.com
©2012 All rights reserved.
Comments? [email protected]
1st Grade Reading Vocabulary 1.12
Use knowledge of vowel digraphs and r-controlled letter-sound associations
to read words.
Lesson to be used by EDI-trained teachers only.
Rel e van c e
An r-controlled vowel is a vowel whose sound changes
because it is followed by the letter r.
R-Controlled Vowel
ar
or
er, i r, ur
Sound
/ŏr/
/ōr/
/r/
Examples
car
f or
her, gi rl , hurt
1. Reading r-controlled vowels will help you read
correctly.
2. Reading r-controlled vowels will help you spell
correctly.
arm
ar/m
torn
t/or/n
CFU
Does anyone else have another reason why it is relevant to read r-controlled vowels? (pair-share) Why is
it relevant to read r-controlled vowels? You may give me my reason or one of your own. Which reason is
more relevant to you? Why?
DataWORKS Educational Research
(800) 495-1550 • www.dataworks-ed.com
©2012 All rights reserved.
Comments? [email protected]
1st Grade Reading Vocabulary 1.12
Use knowledge of vowel digraphs and r-controlled letter-sound associations
to read words.
Lesson to be used by EDI-trained teachers only.
An r-controlled vowel is a vowel whose sound changes
because it is followed by the letter r.
Ski l l Cl osu r e
Blend sounds into words.
Step #1: Look at the word.
a. Identify the r-controlled vowel. (underline)
Step #2: Read the r-controlled vowel aloud.
Step #3: Read the whole word aloud.
R-Controlled
Vowel
ar
or
er, i r, ur
Sound
Examples
/ŏr/
car
f or
her, gi rl , hurt
/ōr/
/r/
1. tar
2. born
Co n c e pt Cl o su r e
Blakely is telling her mom about her day at school. “We learned about words
with r-controlled vowels, like card and rich.” Unfortunately, only one of
Blakely’s words has an r-controlled vowel. Which word has an r-controlled
vowel? How do you know?
Su mm ar y Cl o su r e
What did you learn today about reading r-controlled vowels? (pair-share)
DataWORKS Educational Research
(800) 495-1550 • www.dataworks-ed.com
©2012 All rights reserved.
Comments? [email protected]
1st Grade Reading Vocabulary 1.12
Use knowledge of vowel digraphs and r-controlled letter-sound associations
to read words.
Lesson to be used by EDI-trained teachers only.
Name _____________________
Gu i de d P ra cti c e 1
An r-controlled vowel is a vowel whose sound changes
because it is followed by the letter r.
R-Controlled Vowel
ar
or
er, i r, ur
Sound
/ŏr/
/ōr/
/r/
Examples
car
f or
her, gi rl , hurt
Read r-controlled vowels.
Step #1: Look at the word.
a. Identify the r-controlled vowel. (underline)
Step #2: Read the r-controlled vowel aloud.
Step #3: Read the whole word aloud.
1.
f arm
2.
f ur
3.
boxer
4.
f i rm
5.
pork
6.
curl
7.
yard
8.
sort
9.
chi rp
10.
wi nner
DataWORKS Educational Research
(800) 495-1550 • www.dataworks-ed.com
©2012 All rights reserved.
Comments? [email protected]
1st Grade Reading Vocabulary 1.12
Use knowledge of vowel digraphs and r-controlled letter-sound associations
to read words.
Lesson to be used by EDI-trained teachers only.
Name _____________________
Gu i de d P ra cti c e 2
An r-controlled vowel is a vowel whose sound changes
because it is followed by the letter r.
R-Controlled Vowel
ar
or
er, i r, ur
Sound
/ŏr/
/ōr/
/r/
Examples
car
f or
her, gi rl , hurt
Read r-controlled vowels.
Step #1: Look at the word.
a. Identify the r-controlled vowel. (underline)
Step #2: Read the r-controlled vowel aloud.
Step #3: Read the whole word aloud.
1.
surf
2.
cool er
3.
art
4.
sti r
5.
zi pper
6.
torn
7.
shi rt
8.
spur
9.
f orm
10.
shark
DataWORKS Educational Research
(800) 495-1550 • www.dataworks-ed.com
©2012 All rights reserved.
Comments? [email protected]
1st Grade Reading Vocabulary 1.12
Use knowledge of vowel digraphs and r-controlled letter-sound associations
to read words.
Lesson to be used by EDI-trained teachers only.
Name _____________________
Gu i de d P ra cti c e 3
An r-controlled vowel is a vowel whose sound changes
because it is followed by the letter r.
R-Controlled Vowel
ar
or
er, i r, ur
Sound
/ŏr/
/ōr/
/r/
Examples
car
f or
her, gi rl , hurt
Read r-controlled vowels.
Step #1: Look at the word.
a. Identify the r-controlled vowel. (underline)
Step #2: Read the r-controlled vowel aloud.
Step #3: Read the whole word aloud.
1.
hurl
2.
ski rt
3.
sport
4.
runner
5.
twi rl
6.
bl ur
7.
march
8.
porch
9.
chart
10.
l ocker
DataWORKS Educational Research
(800) 495-1550 • www.dataworks-ed.com
©2012 All rights reserved.
Comments? [email protected]
1st Grade Reading Vocabulary 1.12
Use knowledge of vowel digraphs and r-controlled letter-sound associations
to read words.
Lesson to be used by EDI-trained teachers only.
Name _____________________
Gu i de d P ra cti c e 4
An r-controlled vowel is a vowel whose sound changes
because it is followed by the letter r.
R-Controlled Vowel
ar
or
er, i r, ur
Sound
/ŏr/
/ōr/
/r/
Examples
car
f or
her, gi rl , hurt
Read r-controlled vowels.
Step #1: Look at the word.
a. Identify the r-controlled vowel(s). (underline)
Step #2: Read the r-controlled vowel(s) aloud.
Step #3: Read the whole word aloud.
1.
north
2.
smart
3.
thi rst
4.
burger
5.
scarf
6.
storm
7.
mark
8.
squi rt
9.
f armer
10.
burst
DataWORKS Educational Research
(800) 495-1550 • www.dataworks-ed.com
©2012 All rights reserved.
Comments? [email protected]
1st Grade Reading Vocabulary 1.12
Use knowledge of vowel digraphs and r-controlled letter-sound associations
to read words.
Lesson to be used by EDI-trained teachers only.

Similar documents